Hmm!
28 platters of A and 30 platters of B results in
88 burgers 114 dogs 380 wings and costs 28*16+30*20 = $1048
"Let p(x)=sqrt(-x), and q(x)=8x^2+10x-3. The domain of p(q(x)) can be written in the form a <= x <= b. Find b-a."
Looks like there are 6:
Edit: Corrected. Many thanks to heureka for alerting me to my error.
No! Look at Guest #1's reply. Set p = 1, q = 2, r = 4, then work out k and m by comparing with the x term and the constant term.
Yes. It works on some higher order polynomials as well.
Come to think of it, the word "solve" is unnecessary:
Go to the calculator on the HOME page and type in solve followed by your quadratic equation, then hit enter. See following example:
2x - 5y = 10
x-intercept: 2*x - 5*0 = 10 so x = 5 x-intercept at point (5, 0)
y-intercept: 2*0 - 5*y = 10 so y = -2 y-intercept at point (0, -2)
Use Pythagoras to find distance between them: r = √[(0-5)2 + (-2-0)2]
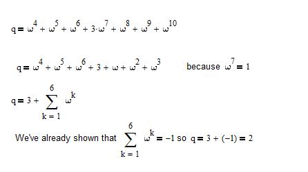
Thinking about it further, I made the last few lines of the derivation of q more complicated than necessary. Going back a few lines from the end we can do the following:
I cheated and used a calculator (well, Mathcad's calculation facilities).