Multiplying polynomials help
How do i solve this?
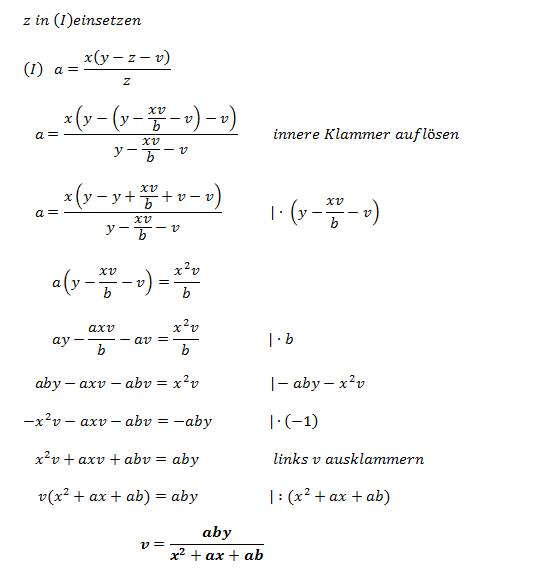
a= (x*(y-z-v)) / z und b= (x*v) / (y-z-v)
Wie werden aus diesen zwei Gleichungen
z= (y*x^2) / (x^2+x*a+a*b)
v= (y*a*b) / (x^2+x*a+a*b)
help wiith these
Britta hat wasser mit sirup gemischt. Ein liter wasser wiegt 1kg. Der sirup ist 12,5% schwerer als wasser. Britta's wasser-sirup-gemisch wiegt genau 300g. Wieviel cm3 wasser und wie viel cm3 sirup könnte sie genommen haben?
Ermittle die Gleichung derjenigen Tangente von f, welche zur gegebenen Geraden g parallel ist. Gib die Koordinaten des Berührpunktes B an.
Wenn noch Fragen sind , melde dich bitte noch mal.
Das klappt mit Kürzen, d.h. Zähler und Nenner durch die selbe Zahl teilen.
Manchmal geht das alles nicht. Dann muss man den Zähler durch den Nenner dividieren. Man erhält dann einen periodischen Dezimalbruch. Aber das behandelt ihr wahrscheinlich noch.
Wie viel Prozent Ziersteine muss Herr Meier weniger einkaufen ?
The polynomial f(x) has degree 3. If f(-1) = 15, f(0)= 0, f(1) = -5, and f(2) = 12 , then what are the $x$-intercepts of the graph of f? Explain.
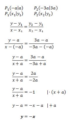
Find The Equation Of The Line That Passes Through The Points (-a,a) And (-3a,3a).