Für die a) muss A² berechnet werden. Man sieht dann halt A²=E (Einheitsmatrix) und fertig - das schaffst du ;)
Erstmal ist erwähnenswert: A hat nur Eigenwerte +1 und/oder -1. Man sieht das wie folgt: Ist v ein Eigenvektor, dann ist Av=xv für eine Zahl x.
Wegen A²=E ist
A²v = A*Av = A*xv = x*Av = x*xv = x²v = v, also muss x²=1 sein. Es ist also x=1 oder x=-1.
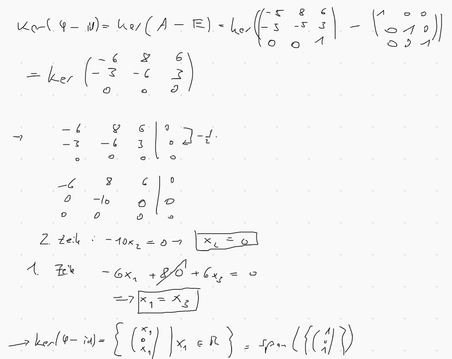
Bei b) bestimmen wir also die Eigenräume unserer Matrix. Das geht genau wie in der Aufgabe von gestern. Ich mach mal einen Fall vor und lass den anderen von wolframalpha machen:

Alles was ich bisher geschrieben habe ist korrekt, aber beim Berechnen-Lassen von ker(phi+id) ist mir etwas aufgefallen: Hier ist A² nicht die Einheitsmatrix, die gegebene Abbildung ist also keine Spiegelung. Da ist wohl dem Ersteller deines Aufgabenblattes ein Fehler unterlaufen.
Trotzdem noch was zu c) und d):
Wir haben ja jetzt einen Basisvektor für ker(phi-id) benötigt. Für ker(phi+id) würde man dann 2 brauchen. Diese beiden wären linear unabhängig zueinander, weil sie ja eine Basis von ker(phi+id) bilden. Da (1 0 1) ein Eigenvektor zu einem anderen Eigenwert ist, ist er linear unabhängig zu den anderen beiden. Also sind alle drei Vektoren linear unabhängig und somit (weil's ja drei Stück sind) eine Basis vom R^3.
Schreibt man diese Vektoren jetzt nebeneinander in eine Matrix M, so ist
M-1 * A * M = D, wobei D eine Diagonalmatrix mit einer 1 (da ein Eigenvektor zu 1 existiert) und zweimal -1 (da zwei Eigenvektoren zu -1 gefunden werden sollten) auf der Diagonalen.
Ich hoff' das hilft so, komm' gern nochmal mit der Frage wenn du eine korrigierte Angabe bekommen hast :D