Hallo ,
ich habe eine funktion und weiß einfach nicht wie ich das alles rechen soll
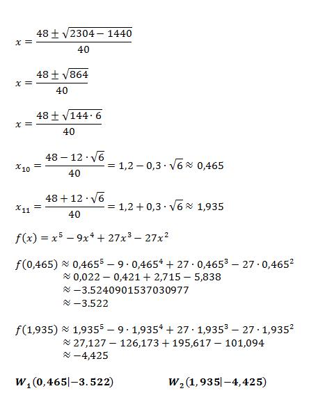
f(x)= xhoch5-9xhoch4 + 27xhoch3 - 27hoch2
a) Bestimme alle Nullstellen der Funktion f(x)
b) Bestimme alle Hoch und tiefpunkte der Funktion f(x)
c) Bestimme alle Wende und sattelpunkte der Funktion f(x)









