Mathematically, this is how I would find the square root of a given pencil:
We first need to find the volume of the pencil, then find the square root of the volume. This is technically the square root of the volume of the pencil, but bear with me.
We could break the pencil down into two basic parts, a cone, and a cylinder:

Now, this would depend on how much your eraser is worn down. Also, the body of a pencil isn't a complete cylinder. This is only an aproximate value, then.
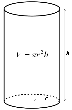
To find the volume of the cylinder, use this equation
V = (pi)(r2)(h)
To find the volume of the cone, use this equation:
V = (pi)(r2)(h/3)
Add these two values together, then find the square root of the sum.
This is the square root of your pencil!
Wow...I must be really bored today to give a detailed answer to a question like this.