Odds against = [ 7 - 4] : 4 = 3 : 4
cuz 7 8 9
Odds against = [25 - 1 ] : 1 = 24 : 1
LOL
471 + 555 + 555
= 471 + (444 + 111) + (666 - 111)
= 471 + 444 + 666 + (111 - 111)
= 471 + 444 + 666
=1581
It's just the same HAHA
\(4m-4=4m\\ m-1=m\\ 0=1\text{<-- W*F}\)
So no solution.
You have found the volume of a prism.
You must divide that answer by 3 for the pyramid.
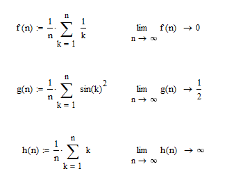
Form the average of a finite sum over n, then take the limit as n tends to infinity. Examples:
.
https://www.desmos.com/calculator/idwv6k1gp9 I modified one of them and get this, which is also very awesome.
Can you guess from which graph I derived this?
He/she doesn't mean that, TheXSquaredFactor.
\(0 = 80q-0.05q^2\\ 0.05q^2-80q = 0\\ q^2 - 1600q=0\\ q(q-1600)=0\\ \text{Set each factor to 0}\\ q= 0\text{ or }q = 1600\)
\(\dfrac{1+x}{1+y}=2.307\\ 1 + x = 2.307+2.307y\\ 2.307y = x-1.307\\ y = \dfrac{x-1.307}{2.307}\)
Any (x, y) which satisfies this equation works. No particular x : y relation.
Does not have a particular meaning.
Maybe he/she is even smaller than 8.
This is rude.
459 x 600
= (459 x 6) x 100 <--- quick calculation tips: multiplying something by 100 means adding 2 "0"s behind it.
= 2754 x 100 <--- now add 2 zeros behind
= 275 400 :D
You will get something like sin(an angle)= a number from the figure, and then you take the inverse of it.
Example:
\(\tan x = \dfrac{3}{2}\\ x = \tan^{-1}\dfrac{3}{2}\approx56.3^{\circ}\)Last step is done by calculator.
Even this one!!:
\(\sin x =\dfrac{1-\sqrt5}{2}\\ x = \sin^{-1}\dfrac{1-\sqrt5}{2}\approx 321.8^{\circ}\)
You don't understand?
\(\log_x\dfrac{1}{8}=-\dfrac{3}{2}\\ x^{\log_x1/8}=x^{-3/2}\\ \dfrac{1}{8}=x^{-3/2}\\ x^{3/2}=8\\ \sqrt[3]{x^{3/2}}=\sqrt[3]{8}\\ x^{1/2}=2\\ x = 2^2 = 4\)
14 - 32 = ?
I worked it out like this:
14
-32
-22
4 - 2 = 2
and
10 - 30 = -20
Then you would have to work out -20 + 2.
And THAT is equal to 18.
So I finally figured it out.
Answer=556
WHAT!!?!?!?!?!?!?!??!?!?!??!
hmmm. That is interesting. 14 - 32 = ?
So why is the answer -18 not -22? Should I subtract the 2 from the -20? Why would I do that?
275 400. I am 8 and I figured it out. How could you not?!?!
How can you not work this out??
$30 / 30 =$1 per pound
$5.70 / 4 =$1.43 per pound
$1.43 - $1 =$0.43 cost difference between the two per pound.
Let the number of $10 notes = T, and
Let the number of $2 notes =t
10T + 2t =1,116
T - 6 = t + 30, solve for T, t
T = 99 Number of $10 notes that Cheko started with
t =63 Number of $2 notes that he started with.
And: