Questions   
Sort: 
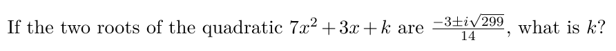
 #1
avatar
0
Jun 11, 2018
 #3
avatar+26403 
+1
Jun 11, 2018
 #2
avatar
+1

1) Since you cannot use 7s and 9s, therefore we have: 0, 1, 2, 3, 4, 5, 6, 8. Since repeats are allowed, then we have: 8^3 - 8^2 = 448 - 3-digit numbers that have no 7s or 9s in them.

Here is a list of them all:

 

{1, 0, 0} | {1, 0, 1} | {1, 0, 2} | {1, 0, 3} | {1, 0, 4} | {1, 0, 5} | {1, 0, 6} | {1, 0, 8} | {1, 1, 0} | {1, 1, 1} | {1, 1, 2} | {1, 1, 3} | {1, 1, 4} | {1, 1, 5} | {1, 1, 6} | {1, 1, 8} | {1, 2, 0} | {1, 2, 1} | {1, 2, 2} | {1, 2, 3} | {1, 2, 4} | {1, 2, 5} | {1, 2, 6} | {1, 2, 8} | {1, 3, 0} | {1, 3, 1} | {1, 3, 2} | {1, 3, 3} | {1, 3, 4} | {1, 3, 5} | {1, 3, 6} | {1, 3, 8} | {1, 4, 0} | {1, 4, 1} | {1, 4, 2} | {1, 4, 3} | {1, 4, 4} | {1, 4, 5} | {1, 4, 6} | {1, 4, 8} | {1, 5, 0} | {1, 5, 1} | {1, 5, 2} | {1, 5, 3} | {1, 5, 4} | {1, 5, 5} | {1, 5, 6} | {1, 5, 8} | {1, 6, 0} | {1, 6, 1} | {1, 6, 2} | {1, 6, 3} | {1, 6, 4} | {1, 6, 5} | {1, 6, 6} | {1, 6, 8} | {1, 8, 0} | {1, 8, 1} | {1, 8, 2} | {1, 8, 3} | {1, 8, 4} | {1, 8, 5} | {1, 8, 6} | {1, 8, 8} | {2, 0, 0} | {2, 0, 1} | {2, 0, 2} | {2, 0, 3} | {2, 0, 4} | {2, 0, 5} | {2, 0, 6} | {2, 0, 8} | {2, 1, 0} | {2, 1, 1} | {2, 1, 2} | {2, 1, 3} | {2, 1, 4} | {2, 1, 5} | {2, 1, 6} | {2, 1, 8} | {2, 2, 0} | {2, 2, 1} | {2, 2, 2} | {2, 2, 3} | {2, 2, 4} | {2, 2, 5} | {2, 2, 6} | {2, 2, 8} | {2, 3, 0} | {2, 3, 1} | {2, 3, 2} | {2, 3, 3} | {2, 3, 4} | {2, 3, 5} | {2, 3, 6} | {2, 3, 8} | {2, 4, 0} | {2, 4, 1} | {2, 4, 2} | {2, 4, 3} | {2, 4, 4} | {2, 4, 5} | {2, 4, 6} | {2, 4, 8} | {2, 5, 0} | {2, 5, 1} | {2, 5, 2} | {2, 5, 3} | {2, 5, 4} | {2, 5, 5} | {2, 5, 6} | {2, 5, 8} | {2, 6, 0} | {2, 6, 1} | {2, 6, 2} | {2, 6, 3} | {2, 6, 4} | {2, 6, 5} | {2, 6, 6} | {2, 6, 8} | {2, 8, 0} | {2, 8, 1} | {2, 8, 2} | {2, 8, 3} | {2, 8, 4} | {2, 8, 5} | {2, 8, 6} | {2, 8, 8} | {3, 0, 0} | {3, 0, 1} | {3, 0, 2} | {3, 0, 3} | {3, 0, 4} | {3, 0, 5} | {3, 0, 6} | {3, 0, 8} | {3, 1, 0} | {3, 1, 1} | {3, 1, 2} | {3, 1, 3} | {3, 1, 4} | {3, 1, 5} | {3, 1, 6} | {3, 1, 8} | {3, 2, 0} | {3, 2, 1} | {3, 2, 2} | {3, 2, 3} | {3, 2, 4} | {3, 2, 5} | {3, 2, 6} | {3, 2, 8} | {3, 3, 0} | {3, 3, 1} | {3, 3, 2} | {3, 3, 3} | {3, 3, 4} | {3, 3, 5} | {3, 3, 6} | {3, 3, 8} | {3, 4, 0} | {3, 4, 1} | {3, 4, 2} | {3, 4, 3} | {3, 4, 4} | {3, 4, 5} | {3, 4, 6} | {3, 4, 8} | {3, 5, 0} | {3, 5, 1} | {3, 5, 2} | {3, 5, 3} | {3, 5, 4} | {3, 5, 5} | {3, 5, 6} | {3, 5, 8} | {3, 6, 0} | {3, 6, 1} | {3, 6, 2} | {3, 6, 3} | {3, 6, 4} | {3, 6, 5} | {3, 6, 6} | {3, 6, 8} | {3, 8, 0} | {3, 8, 1} | {3, 8, 2} | {3, 8, 3} | {3, 8, 4} | {3, 8, 5} | {3, 8, 6} | {3, 8, 8} | {4, 0, 0} | {4, 0, 1} | {4, 0, 2} | {4, 0, 3} | {4, 0, 4} | {4, 0, 5} | {4, 0, 6} | {4, 0, 8} | {4, 1, 0} | {4, 1, 1} | {4, 1, 2} | {4, 1, 3} | {4, 1, 4} | {4, 1, 5} | {4, 1, 6} | {4, 1, 8} | {4, 2, 0} | {4, 2, 1} | {4, 2, 2} | {4, 2, 3} | {4, 2, 4} | {4, 2, 5} | {4, 2, 6} | {4, 2, 8} | {4, 3, 0} | {4, 3, 1} | {4, 3, 2} | {4, 3, 3} | {4, 3, 4} | {4, 3, 5} | {4, 3, 6} | {4, 3, 8} | {4, 4, 0} | {4, 4, 1} | {4, 4, 2} | {4, 4, 3} | {4, 4, 4} | {4, 4, 5} | {4, 4, 6} | {4, 4, 8} | {4, 5, 0} | {4, 5, 1} | {4, 5, 2} | {4, 5, 3} | {4, 5, 4} | {4, 5, 5} | {4, 5, 6} | {4, 5, 8} | {4, 6, 0} | {4, 6, 1} | {4, 6, 2} | {4, 6, 3} | {4, 6, 4} | {4, 6, 5} | {4, 6, 6} | {4, 6, 8} | {4, 8, 0} | {4, 8, 1} | {4, 8, 2} | {4, 8, 3} | {4, 8, 4} | {4, 8, 5} | {4, 8, 6} | {4, 8, 8} | {5, 0, 0} | {5, 0, 1} | {5, 0, 2} | {5, 0, 3} | {5, 0, 4} | {5, 0, 5} | {5, 0, 6} | {5, 0, 8} | {5, 1, 0} | {5, 1, 1} | {5, 1, 2} | {5, 1, 3} | {5, 1, 4} | {5, 1, 5} | {5, 1, 6} | {5, 1, 8} | {5, 2, 0} | {5, 2, 1} | {5, 2, 2} | {5, 2, 3} | {5, 2, 4} | {5, 2, 5} | {5, 2, 6} | {5, 2, 8} | {5, 3, 0} | {5, 3, 1} | {5, 3, 2} | {5, 3, 3} | {5, 3, 4} | {5, 3, 5} | {5, 3, 6} | {5, 3, 8} | {5, 4, 0} | {5, 4, 1} | {5, 4, 2} | {5, 4, 3} | {5, 4, 4} | {5, 4, 5} | {5, 4, 6} | {5, 4, 8} | {5, 5, 0} | {5, 5, 1} | {5, 5, 2} | {5, 5, 3} | {5, 5, 4} | {5, 5, 5} | {5, 5, 6} | {5, 5, 8} | {5, 6, 0} | {5, 6, 1} | {5, 6, 2} | {5, 6, 3} | {5, 6, 4} | {5, 6, 5} | {5, 6, 6} | {5, 6, 8} | {5, 8, 0} | {5, 8, 1} | {5, 8, 2} | {5, 8, 3} | {5, 8, 4} | {5, 8, 5} | {5, 8, 6} | {5, 8, 8} | {6, 0, 0} | {6, 0, 1} | {6, 0, 2} | {6, 0, 3} | {6, 0, 4} | {6, 0, 5} | {6, 0, 6} | {6, 0, 8} | {6, 1, 0} | {6, 1, 1} | {6, 1, 2} | {6, 1, 3} | {6, 1, 4} | {6, 1, 5} | {6, 1, 6} | {6, 1, 8} | {6, 2, 0} | {6, 2, 1} | {6, 2, 2} | {6, 2, 3} | {6, 2, 4} | {6, 2, 5} | {6, 2, 6} | {6, 2, 8} | {6, 3, 0} | {6, 3, 1} | {6, 3, 2} | {6, 3, 3} | {6, 3, 4} | {6, 3, 5} | {6, 3, 6} | {6, 3, 8} | {6, 4, 0} | {6, 4, 1} | {6, 4, 2} | {6, 4, 3} | {6, 4, 4} | {6, 4, 5} | {6, 4, 6} | {6, 4, 8} | {6, 5, 0} | {6, 5, 1} | {6, 5, 2} | {6, 5, 3} | {6, 5, 4} | {6, 5, 5} | {6, 5, 6} | {6, 5, 8} | {6, 6, 0} | {6, 6, 1} | {6, 6, 2} | {6, 6, 3} | {6, 6, 4} | {6, 6, 5} | {6, 6, 6} | {6, 6, 8} | {6, 8, 0} | {6, 8, 1} | {6, 8, 2} | {6, 8, 3} | {6, 8, 4} | {6, 8, 5} | {6, 8, 6} | {6, 8, 8} | {8, 0, 0} | {8, 0, 1} | {8, 0, 2} | {8, 0, 3} | {8, 0, 4} | {8, 0, 5} | {8, 0, 6} | {8, 0, 8} | {8, 1, 0} | {8, 1, 1} | {8, 1, 2} | {8, 1, 3} | {8, 1, 4} | {8, 1, 5} | {8, 1, 6} | {8, 1, 8} | {8, 2, 0} | {8, 2, 1} | {8, 2, 2} | {8, 2, 3} | {8, 2, 4} | {8, 2, 5} | {8, 2, 6} | {8, 2, 8} | {8, 3, 0} | {8, 3, 1} | {8, 3, 2} | {8, 3, 3} | {8, 3, 4} | {8, 3, 5} | {8, 3, 6} | {8, 3, 8} | {8, 4, 0} | {8, 4, 1} | {8, 4, 2} | {8, 4, 3} | {8, 4, 4} | {8, 4, 5} | {8, 4, 6} | {8, 4, 8} | {8, 5, 0} | {8, 5, 1} | {8, 5, 2} | {8, 5, 3} | {8, 5, 4} | {8, 5, 5} | {8, 5, 6} | {8, 5, 8} | {8, 6, 0} | {8, 6, 1} | {8, 6, 2} | {8, 6, 3} | {8, 6, 4} | {8, 6, 5} | {8, 6, 6} | {8, 6, 8} | {8, 8, 0} | {8, 8, 1} | {8, 8, 2} | {8, 8, 3} | {8, 8, 4} | {8, 8, 5} | {8, 8, 6} | {8, 8, 8} (total: 448)

Jun 11, 2018
Jun 10, 2018

2 Online Users

avatar
avatar